تُعد مضخة الآبار العميقة المصنوعة من الفولاذ المقاوم للصدأ ZΞN 4SDM من العلامة التجارية ZΞN 4SDM الخيار المثالي لأولئك الذين يحتاجون إلى حل موثوق وفعال ومبتكر لضخ المياه. ثق بعلامة ZEN التجارية لتلبية جميع احتياجاتك في مجال ضخ الآبار العميقة. المعرف*اليوم الرابع*4: قطر البئر: 100 مم (4 بوصات)* SD: المضخات تحت سطح البحر من سلسلة SD* M: محرك أحادي الطور (ثلاثي الطور بدون M)*2: السعة (م3/ح)*6: المشهد* 0.25: قوة المحرك (كيلوواط)
1. لتزويد المياه من الآبار أو الخزانات.
2. يستخدم للأغراض المنزلية والمدنية والصناعية.
3. لاستخدام الحدائق والري.
1. أقصى درجة حرارة للسائل تصل إلى +35 درجة مئوية.
2. الحد الأقصى لمحتوى الرمل: 0.25%.
3. الحد الأقصى لعمق الغوص: 100 متر.
4. الحد الأدنى لقطر البئر: 4 بوصة.
1. محرك كهربائي ذو لفات متعددة أو شاشة مغلقة بالكامل
2. ثلاث مراحل: 380 فولت - 415 فولت / 50 هرتز
3. واحد فقط. المرحلة: 220 فولت - 240 فولت / 50 هرتز
4. مجهزة بصندوق التحكم في الإطلاق أو صندوق التحكم الآلي الرقمي
5. المضخة مصممة لضغط الغلاف
6. معايير حجم NEMA
1. ختم ميكانيكي خاص
2. الفولتية أو الترددات الأخرى 60 هرتز
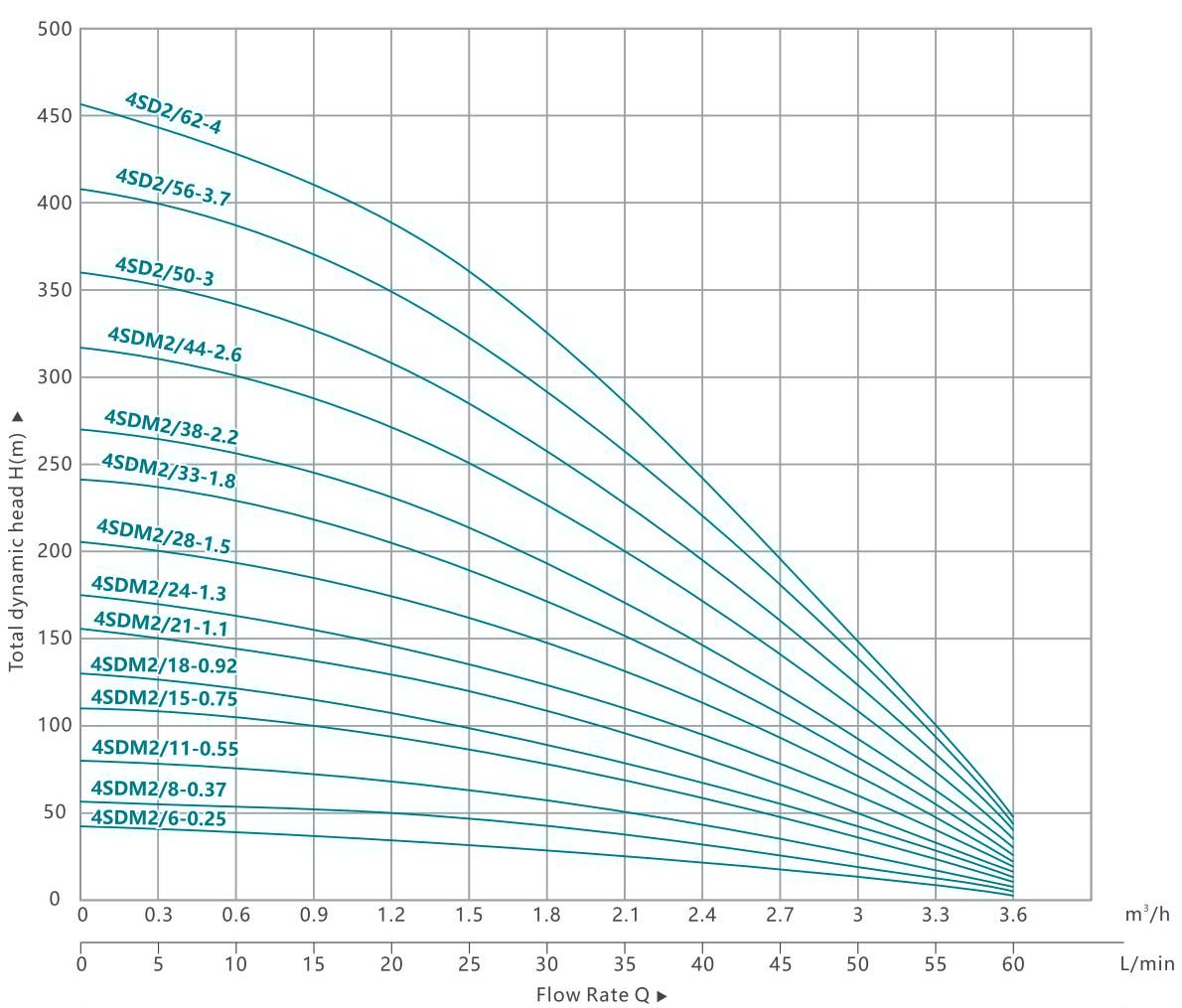
| نموذج | ص2 | التسليم ن = 2850 دورة في الدقيقة | |||||||||||||||
| 1 ~ 220 فولت/240 فولت | 3 ~ 380 فولت/415 فولت | كيلوواط | HP |
Q لتر/دقيقة m3/ح |
0 | 5 | 10 | 15 | 20 | 25 | 30 | 35 | 40 | 45 | 50 | 55 | 60 |
| 0 | 0.3 | 0.6 | 0.9 | 1.2 | 1.5 | 1.8 | 2.1 | 2.4 | 2.7 | 3 | 3.3 | 3.6 | |||||
| 4SDM2/6-0.25 | 4SD2/6-0.25 | 0.25 | 0.33 | ح (م) | 44 | 43 | 41 | 39 | 37 | 35 | 31 | 28 | 25 | 20 | 14 | 10 | 4 |
| 4SDM2/8-0.37 | 4SD2/8-0.37 | 0.37 | 0.5 | 58 | 57 | 55 | 52 | 50 | 47 | 42 | 37 | 33 | 27 | 19 | 14 | 6 | |
| 4SDM2/11-0.55 | 4SD2/11-0.55 | 0.55 | 0.75 | 80 | 79 | 76 | 72 | 68 | 65 | 57 | 51 | 45 | 37 | 26 | 19 | 8 | |
| 4SDM2/15-0.75 | 4SD2/15-0.75 | 0.75 | 1 | 110 | 107 | 104 | 98 | 93 | 89 | 78 | 69 | 62 | 51 | 36 | 26 | 11 | |
| 4SDM2/18-0.92 | 4SD2/18-0.92 | 0.92 | 1.25 | 131 | 129 | 124 | 117 | 112 | 106 | 94 | 83 | 74 | 61 | 43 | 31 | 13 | |
| 4SDM2/21-1.1 | 4SD2/21-1.1 | 1.1 | 1.5 | 153 | 150 | 145 | 137 | 130 | 124 | 109 | 97 | 86 | 71 | 50 | 36 | 15 | |
| 4SDM2/24-1.3 | 4SD2/24-1.3 | 1.3 | 1.75 | 175 | 172 | 166 | 156 | 149 | 142 | 125 | 110 | 98 | 82 | 58 | 41 | 17 | |
| 4SDM2/28-1.5 | 4SD2/28-1.5 | 1.5 | 2 | 204 | 200 | 193 | 182 | 174 | 165 | 146 | 129 | 115 | 95 | 67 | 48 | 20 | |
| 4SDM2/33-1.8 | 4SD2/33-1.8 | 1.8 | 2.5 | 241 | 236 | 228 | 215 | 205 | 195 | 172 | 152 | 135 | 112 | 79 | 56 | 23 | |
| 4SDM2/38-2.2 | 4SD2/38-2.2 | 2.2 | 3 | 277 | 272 | 262 | 247 | 236 | 224 | 198 | 175 | 156 | 129 | 91 | 65 | 27 | |
| 4SDM2/44-2.6 | 4SD2/44-2.6 | 2.6 | 3.5 | 321 | 315 | 304 | 286 | 273 | 260 | 229 | 202 | 180 | 150 | 106 | 75 | 31 | |
| / | 4SD2/50-3 | 3 | 4 | 365 | 358 | 345 | 325 | 310 | 295 | 260 | 230 | 205 | 170 | 120 | 85 | 35 | |
| / | 4SD2/56-3.7 | 3.7 | 5 | 409 | 400 | 386 | 364 | 347 | 330 | 291 | 258 | 230 | 190 | 134 | 95 | 39 | |
| / | 4SD2/62-4 | 4 | 5.5 | 453 | 443 | 428 | 403 | 384 | 366 | 322 | 285 | 254 | 211 | 149 | 105 | 43 | |
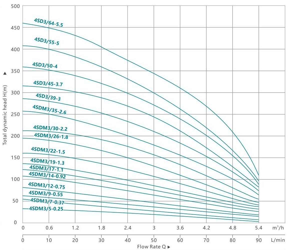
| نموذج | ص2 | التسليم ن = 2850 دورة في الدقيقة | ||||||||||||
| 1 ~ 220 فولت/240 فولت | 3 ~ 380 فولت/415 فولت | كيلوواط | HP |
Q لتر/دقيقة m3/ح |
0 | 10 | 20 | 30 | 40 | 50 | 60 | 70 | 80 | 90 |
| 0 | 0.6 | 1.2 | 1.8 | 2.4 | 3 | 3.6 | 4.2 | 4.8 | 5.4 | |||||
| 4SDM3/5-0.25 | 4SD3/5-0.25 | 0.25 | 0.33 | ح (م) | 37 | 36 | 34 | 32 | 29 | 27 | 24 | 20 | 16 | 9 |
| 4SDM3/7-0.37 | 4SD3/7-0.37 | 0.37 | 0.5 | 51 | 50 | 48 | 45 | 41 | 37 | 34 | 28 | 22 | 13 | |
| 4SDM3/9-0.55 | 4SD3/9-0.55 | 0.55 | 0.75 | 66 | 64 | 61 | 58 | 52 | 48 | 43 | 36 | 29 | 16 | |
| 4SDM3/12-0.75 | 4SD3/12-0.75 | 0.75 | 1 | 88 | 85 | 82 | 77 | 70 | 64 | 58 | 48 | 38 | 22 | |
| 4SDM3/14-0.92 | 4SD3/14-0.92 | 0.92 | 1.25 | 102 | 99 | 95 | 90 | 81 | 75 | 67 | 56 | 45 | 25 | |
| 4SDM3/17-1.1 | 4SD3/17-1.1 | 1.1 | 1.5 | 124 | 121 | 116 | 109 | 99 | 91 | 82 | 68 | 54 | 31 | |
| 4SDM3/19-1.3 | 4SD3/19-1.3 | 1.3 | 1.75 | 139 | 135 | 129 | 122 | 110 | 102 | 91 | 76 | 61 | 34 | |
| 4SDM3/22-1.5 | 4SD3/22-1.5 | 1.5 | 2 | 161 | 156 | 150 | 141 | 128 | 118 | 106 | 88 | 70 | 40 | |
| 4SDM3/26-1.8 | 4SD3/26-1.8 | 1.8 | 2.5 | 190 | 185 | 177 | 166 | 151 | 139 | 125 | 104 | 83 | 47 | |
| 4SDM3/30-2.2 | 4SD3/30-2.2 | 2.2 | 3 | 219 | 213 | 204 | 192 | 174 | 161 | 144 | 120 | 96 | 54 | |
| 4SDM3/35-2.6 | 4SD3/35-2.6 | 2.6 | 3.5 | 256 | 249 | 238 | 224 | 203 | 187 | 168 | 140 | 112 | 63 | |
| / | 4SD3/39-3 | 3 | 4 | 285 | 277 | 265 | 250 | 226 | 209 | 187 | 156 | 125 | 70 | |
| / | 4SD3/45-3.7 | 3.7 | 5 | 329 | 320 | 306 | 288 | 261 | 241 | 216 | 180 | 144 | 81 | |
| / | 4SD3/50-4 | 4 | 5.5 | 365 | 355 | 340 | 320 | 290 | 268 | 240 | 200 | 160 | 90 | |
| / | 4SD3/55-5 | 5 | 7 | 402 | 391 | 374 | 352 | 319 | 294 | 264 | 220 | 176 | 99 | |
| / | 4SD3/64-5.5 | 5.5 | 7.5 | 467 | 454 | 435 | 410 | 371 | 342 | 307 | 256 | 205 | 115 | |
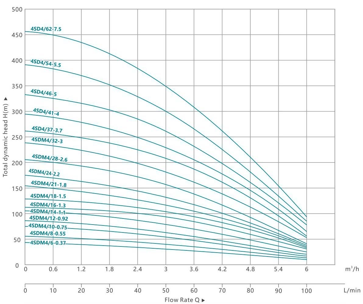
| نموذج | ص2 | بيانات الأداء 50 هرتز | |||||||||||||
| 1 ~ 220 فولت/240 فولت | 3 ~ 380 فولت/415 فولت | كيلوواط | HP |
Q لتر/دقيقة m3/ح |
0 | 10 | 20 | 30 | 40 | 50 | 60 | 70 | 80 | 90 | 100 |
| 0 | 0.6 | 1.2 | 1.8 | 2.4 | 3 | 3.6 | 4.2 | 4.8 | 5.4 | 6 | |||||
| 4SDM4/6-0.37 | 4SD4/6-0.37 | 0.37 | 0.5 | ح (م) | 44 | 43 | 40 | 39 | 37 | 34 | 30 | 25 | 20 | 16 | 10 |
| 4SDM4/8-0.55 | 4SD4/8-0.55 | 0.55 | 0.75 | 58 | 57 | 54 | 52 | 49 | 46 | 40 | 34 | 27 | 21 | 13 | |
| 4SDM4/10-0.75 | 4SD4/10-0.75 | 0.75 | 1 | 73 | 71 | 67 | 65 | 61 | 57 | 50 | 42 | 34 | 26 | 16 | |
| 4SDM4/12-0.92 | 4SD4/12-0.92 | 0.92 | 1.25 | 88 | 85 | 80 | 78 | 73 | 68 | 60 | 50 | 41 | 31 | 19 | |
| 4SDM4/14-1.1 | 4SD4/14-1.1 | 1.1 | 1.5 | 102 | 99 | 94 | 91 | 85 | 80 | 70 | 59 | 48 | 36 | 22 | |
| 4SDM4/16-1.3 | 4SD4/16-1.3 | 1.3 | 1.75 | 117 | 114 | 107 | 104 | 98 | 91 | 80 | 67 | 54 | 42 | 26 | |
| 4SDM4/18-1.5 | 4SD4/18-1.5 | 1.5 | 2 | 131 | 128 | 121 | 117 | 110 | 103 | 90 | 76 | 61 | 47 | 29 | |
| 4SDM4/21-1.8 | 4SD4/21-1.8 | 1.8 | 2.5 | 153 | 149 | 141 | 137 | 128 | 120 | 105 | 88 | 71 | 55 | 34 | |
| 4SDM4/24-2.2 | 4SD4/24-2.2 | 2.2 | 3 | 175 | 170 | 161 | 156 | 146 | 137 | 120 | 101 | 82 | 62 | 38 | |
| 4SDM4/28-2.6 | 4SD4/28-2.6 | 2.6 | 3.5 | 204 | 199 | 188 | 182 | 171 | 160 | 140 | 118 | 95 | 73 | 45 | |
| 4SDM4/32-3 | 4SD4/32-3 | 3 | 4 | 234 | 227 | 214 | 208 | 195 | 182 | 160 | 134 | 109 | 83 | 51 | |
| / | 4SD4/37-3.7 | 3.7 | 5 | 270 | 263 | 248 | 241 | 226 | 211 | 185 | 155 | 126 | 96 | 59 | |
| / | 4SD4/41-4 | 4 | 5.5 | 299 | 291 | 275 | 267 | 250 | 234 | 205 | 172 | 139 | 107 | 66 | |
| / | 4SD4/46-5 | 5 |
7 |
336 | 327 | 308 | 299 | 281 | 262 | 230 | 193 | 156 | 120 | 74 | |
| / | 4SD4/54-5.5 | 5.5 | 7.5 | 394 | 383 | 362 | 351 | 329 | 308 | 270 | 227 | 184 | 140 | 86 | |
| / | 4SD4/62-7.5 | 7.5 | 10 | 453 | 440 | 415 | 403 | 378 | 353 | 310 | 260 | 211 | 161 | 99 | |
| نموذج | ص2 | التسليم ن = 2850 دورة في الدقيقة | ||||||||||
| 1 ~ 220 فولت/240 فولت | 3 ~ 380 فولت/415 فولت | كيلوواط | HP |
Q لتر/دقيقة m3/ح |
0 | 20 | 40 | 60 | 80 | 100 | 120 | 140 |
| 0 | 1.2 | 2.4 | 3.6 | 4.8 | 6 | 7.2 | 8.4 | |||||
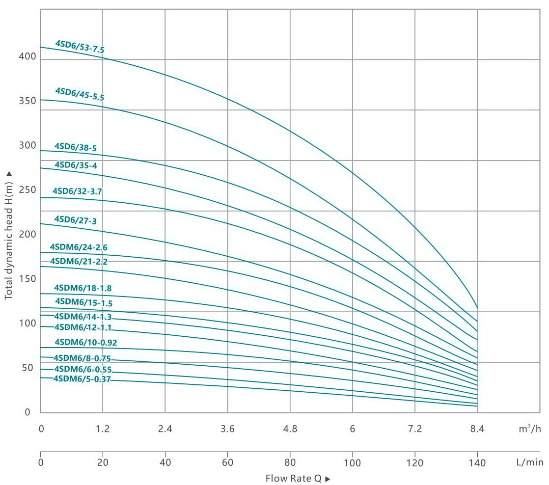
| 4SDM6/5-0.37 | 4SD6/5-0.37 | 0.37 | 0.5 | ح (م) | 35 | 34 | 32 | 29 | 27 | 21 | 16 | 10 |
| 4SDM6/6-0.55 | 4SD6/6-0.55 | 0.55 | 0.75 | 41 | 40 | 38 | 35 | 32 | 25 | 19 | 12 | |
| 4SDM6/8-0.75 | 4SD6/8-0.75 | 0.75 | 1 | 55 | 54 | 50 | 46 | 43 | 34 | 26 | 16 | |
| 4SDM6/10-0.92 | 4SD6/10-0.92 | 0.92 | 1.25 | 69 | 67 | 63 | 58 | 54 | 42 | 32 | 20 | |
| 4SDM6/12-1.1 | 4SD6/12-1.1 | 1.1 | 1.5 | 83 | 80 | 76 | 70 | 65 | 50 | 38 | 24 | |
| 4SDM6/14-1.3 | 4SD6/14-1.3 | 1.3 | 1.75 | 97 | 94 | 88 | 81 | 76 | 59 | 45 | 28 | |
| 4SDM6/15-1.5 | 4SD6/15-1.5 | 1.5 | 2 | 104 | 101 | 95 | 87 | 81 | 63 | 48 | 30 | |
| 4SDM6/18-1.8 | 4SD6/18-1.8 | 1.8 | 2.5 | 124 | 121 | 113 | 104 | 97 | 76 | 58 | 36 | |
| 4SDM6/21-2.2 | 4SD6/21-2.2 | 2.2 | 3 | 145 | 141 | 132 | 122 | 113 | 88 | 67 | 42 | |
| 4SDM6/24-2.6 | 4SD6/24-2.6 | 2.6 | 3.5 | 166 | 161 | 151 | 139 | 130 | 101 | 77 | 48 | |
| / | 4SD6/27-3 | 3 | 4 | 186 | 181 | 170 | 157 | 146 | 113 | 86 | 54 | |
| / | 4SD6/32-3.7 | 3.7 | 5 | 221 | 214 | 202 | 186 | 173 | 134 | 102 | 64 | |
| / | 4SD6/35-4 | 4 | 5.5 | 242 | 235 | 221 | 203 | 189 | 147 | 112 | 70 | |
| / | 4SD6/38-5 | 5 | 7 | 262 | 255 | 239 | 220 | 205 | 160 | 122 | 76 | |
| / | 4SD6/45-5.5 | 5.5 | 7.5 | 311 | 302 | 284 | 261 | 243 | 189 | 144 | 90 | |
| / | 4SD6/53-7.5 | 7.5 | 10 | 366 | 355 | 334 | 307 | 286 | 223 | 170 | 106 | |
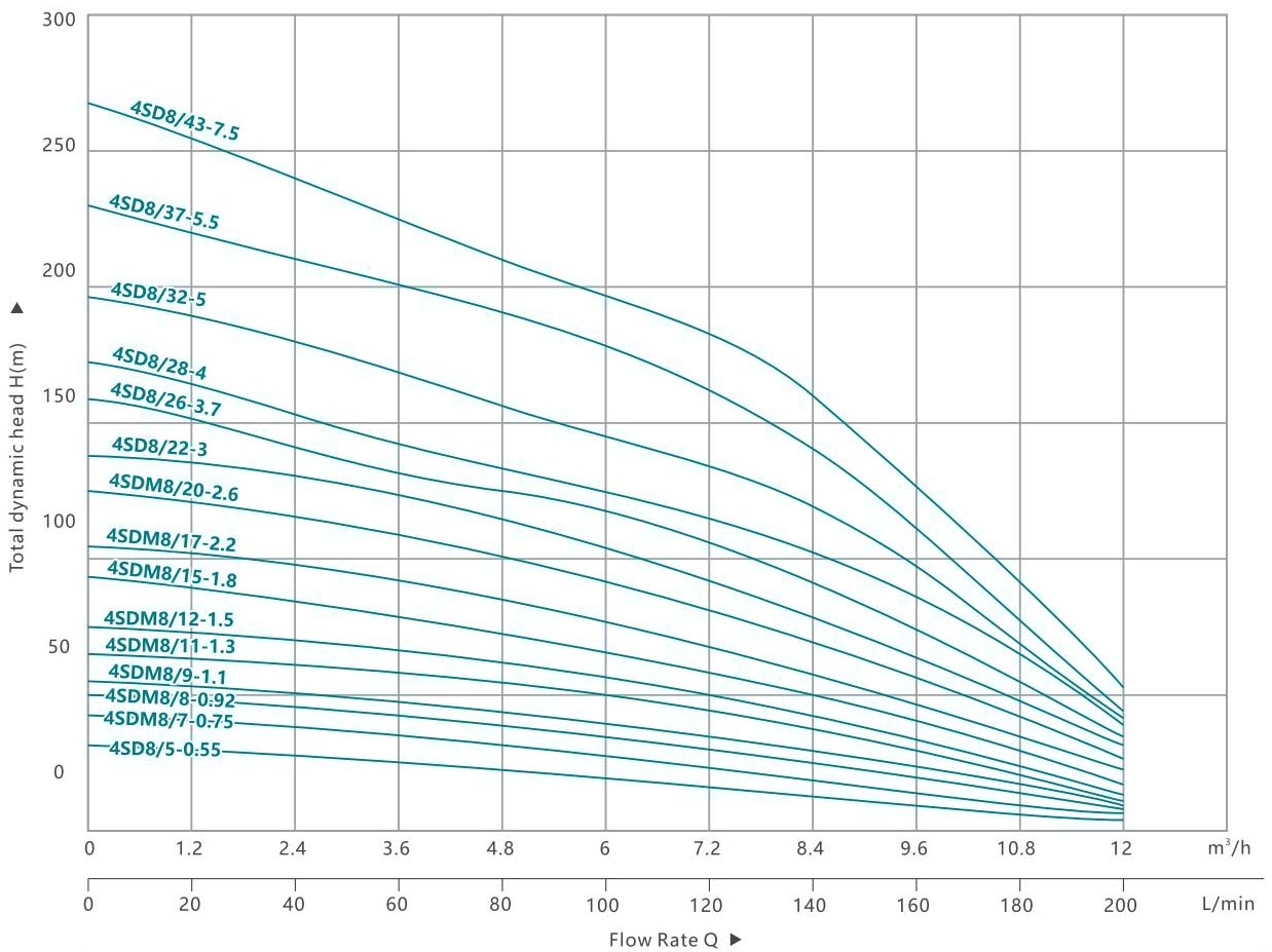
| نموذج | ص2 | التسليم ن = 2850 دورة في الدقيقة | |||||||||||||
| 1 ~ 220 فولت/240 فولت | 3 ~ 380 فولت/415 فولت | كيلوواط | HP |
Q لتر/دقيقة m3/ح |
0 | 20 | 40 | 60 | 80 | 100 | 120 | 140 | 160 | 180 | 200 |
| 0 | 1.2 | 2.4 | 3.6 | 4.8 | 6 | 7.2 | 8.4 | 9.6 | 10.8 | 12 | |||||
| 4SDM8/5-0.55 | 4SD8/5-0.55 | 0.55 | 0.75 | ح (م) | 31 | 30 | 27 | 26 | 24 | 23 | 21 | 18 | 14 | 9 | 5 |
| 4SDM8/7-0.75 | 4SD8/7-0.75 | 0.75 | 1 | 43 | 41 | 37 | 36 | 34 | 32 | 29 | 25 | 20 | 13 | 7 | |
| 4SDM8/8-0.92 | 4SD8/8-0.92 | 0.92 | 1.25 | 50 | 47 | 42 | 41 | 38 | 36 | 34 | 29 | 22 | 14 | 8 | |
| 4SDM8/9-1.1 | 4SD8/9-1.1 | 1.1 | 1.5 | 56 | 53 | 48 | 46 | 43 | 41 | 38 | 32 | 25 | 16 | 9 | |
| 4SDM8/11-1.3 | 4SD8/11-1.3 | 1.3 | 1.75 | 68 | 65 | 58 | 56 | 53 | 50 | 46 | 40 | 31 | 20 | 12 | |
| 4SDM8/12-1.5 | 4SD8/12-1.5 | 1.5 | 2 | 74 | 71 | 64 | 61 | 58 | 54 | 50 | 43 | 34 | 22 | 13 | |
| 4SDM8/15-1.8 | 4SD8/15-1.8 | 1.8 | 2.5 | 93 | 90 | 81 | 78 | 73 | 69 | 64 | 56 | 44 | 30 |
18 |
|
| 4SDM8/17-2.2 | 4SD8/17-2.2 | 2.2 | 3 | 106 | 102 | 92 | 88 | 83 | 78 | 73 | 64 | 50 | 34 | 20 | |
| 4SDM8/20-2.6 | 4SD8/20-2.6 | 2.6 | 3.5 | 125 | 120 | 108 | 104 | 98 | 92 | 86 | 75 | 59 | 40 | 24 | |
| / | 4SD8/22-3 | 3 | 4 | 137 | 132 | 119 | 114 | 107 | 101 | 94 | 83 | 65 | 44 | 26 | |
| / | 4SD8/26-3.7 | 3.7 | 5 | 162 | 156 | 140 | 135 | 127 | 119 | 112 | 98 | 76 | 52 | 31 | |
| / | 4SD8/28-4 | 4 | 5.5 | 174 | 168 | 151 | 145 | 137 | 129 | 120 | 105 | 82 | 56 | 33 | |
| / | 4SD8/32-5 | 5 | 7 | 199 | 192 | 173 | 166 | 156 | 147 | 137 | 120 | 94 | 64 | 38 | |
| / | 4SD8/37-5.5 | 5.5 | 7.5 | 231 | 222 | 200 | 192 | 181 | 170 | 159 | 139 | 109 | 74 | 44 | |
| / | 4SD8/43-7.5 | 7.5 | 10 | 268 | 258 | 232 | 223 | 210 | 197 | 184 | 162 | 126 | 86 | 51 | |
| نموذج | ص2 | التسليم ن = 2850 دورة في الدقيقة | ||||||||||||
| 1 ~ 220 فولت/240 فولت | 3 ~ 380 فولت/415 فولت | كيلوواط | HP |
Q لتر/دقيقة m3/ح |
0 | 30 | 60 | 90 | 120 | 150 | 180 | 210 | 240 | 270 |
| 0 | 1.8 | 3.6 | 5.4 | 7.2 | 9 | 10.8 | 12.6 | 14.4 | 16.2 | |||||
| 4SDM12/4-0.75 | 4SD12/4-0.75 | 0.75 | 1 | ح (م) | 25 | 24 | 23 | 21 | 19 | 18 | 15 | 12 | 9 | 4 |
| 4SDM12/5-0.92 | 4SD12/5-0.92 | 0.92 | 1.25 | 32 | 30 | 29 | 26 | 24 | 22 | 19 | 15 | 12 | 5 | |
| 4SDM12/6-1.1 | 4SD12/6-1.1 | 1.1 | 1.5 | 38 | 36 | 34 | 31 | 29 | 26 | 23 | 18 | 14 | 6 | |
| 4SDM12/7-1.3 | 4SD12/7-1.3 | 1.3 | 1.75 | 44 | 42 | 40 | 36 | 34 | 31 | 27 | 21 | 16 | 7 | |
| 4SDM12/8-1.5 | 4SD12/8-1.5 | 1.5 | 2 | 50 | 48 | 46 | 42 | 38 | 35 | 30 | 24 | 18 | 8 | |
| 4SDM12/10-1.8 | 4SD12/10-1.8 | 1.8 | 2.5 | 63 | 60 | 57 | 52 | 48 | 44 | 38 | 30 | 23 | 10 | |
| 4SDM12/11-2.2 | 4SD12/11-2.2 | 2.2 | 3 | 69 | 66 | 63 | 57 | 53 | 48 | 42 | 33 | 25 | 11 | |
| 4SDM12/13-2.6 | 4SD12/13-2.6 | 2.6 | 3.5 | 82 | 78 | 74 | 68 | 62 | 57 | 49 | 39 | 30 | 13 | |
| / | 4SD12/15-3 | 3 | 4 | 95 | 90 | 86 | 78 | 72 | 66 | 57 | 45 | 35 | 15 | |
| / | 4SD12/17-3.7 | 3.7 | 5 | 107 | 102 | 97 | 88 | 82 | 75 | 65 | 51 | 39 | 17 | |
| / | 4SD12/19-4 | 4 | 5.5 | 120 | 114 | 108 | 99 | 91 | 84 | 72 | 57 | 44 | 19 | |
| / | 4SD12/21-5 | 5 | 7 | 132 | 126 | 120 | 109 | 101 | 92 | 80 | 63 | 48 | 21 | |
| / | 4SD12/25-5.5 | 5.5 | 7.5 | 158 | 150 | 143 | 130 | 120 | 110 | 95 | 75 | 58 | 25 | |
| / | 4SD12/29-7.5 | 7.5 | 10 | 183 | 174 | 165 | 151 | 139 | 128 | 110 | 87 | 67 | 29 | |
| نموذج | ص2 | التسليم ن = 2850 دورة في الدقيقة | |||||||||||
| 1 ~ 220 فولت/240 فولت | 3 ~ 380 فولت/415 فولت | كيلوواط | HP |
Q لتر/دقيقة m3/ح |
0 | 50 | 100 | 150 | 200 | 250 | 300 | 350 | 400 |
| 0 | 3 | 6 | 9 | 12 | 15 | 18 | 21 | 24 | |||||
| 4SDM16/4-1.1 | 4SD16/4-1.1 | 1.1 | 1.5 | ح (م) | 23 | 22 | 21 | 20 | 17 | 15 | 12 | 9 | 7 |
| 4SDM16/5-1.3 | 4SD16/5-1.3 | 1.3 | 1.75 | 29 | 28 | 27 | 26 | 22 | 19 | 16 | 11 | 9 | |
| 4SDM16/6-1.5 | 4SD16/6-1.5 | 1.5 | 2 | 35 | 34 | 32 | 31 | 26 | 22 | 19 | 13 | 11 | |
| 4SDM16/8-1.8 | 4SD16/8-1.8 | 1.8 | 2.5 | 46 | 45 | 42 | 42 | 35 | 30 | 25 | 18 | 14 | |
| 4SDM16/9-2.2 | 4SD16/9-2.2 | 2.2 | 3 | 52 | 51 | 48 | 47 | 39 | 33 | 28 | 20 | 16 | |
| 4SDM16/10-2.6 | 4SD16/10-2.6 | 2.6 | 3.5 | 58 | 57 | 53 | 52 | 44 | 37 | 31 | 22 | 18 | |
| / | 4SD16/11-3 | 3 | 4 | 64 | 62 | 58 | 57 | 48 | 41 | 34 | 24 | 20 | |
| / | 4SD16/13-3.7 | 3.7 | 5 | 75 | 73 | 69 | 68 | 57 | 48 | 40 | 29 | 23 | |
| / | 4SD16/15-4 | 4 | 5.5 | 87 | 85 | 80 | 78 | 65 | 56 | 47 | 33 | 27 | |
| / | 4SD16/17-5 | 5 | 7 | 99 | 96 | 90 | 88 | 74 | 63 | 53 | 37 | 31 | |
| / | 4SD16/20-5.5 | 5.5 | 7.5 | 116 | 113 | 106 | 104 | 87 | 74 | 62 | 44 | 36 | |
| / | 4SD16/22-7.5 | 7.5 | 10 | 128 | 124 | 117 | 114 | 96 | 81 | 68 | 48 | 40 | |
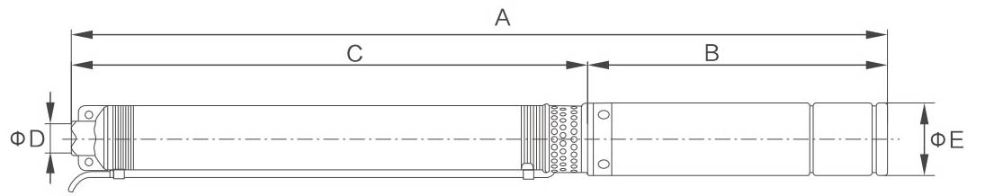
| مقياس المظلي | |||||
| نموذج | A | B | C | D | E |
| 4SDM2/6-0.25 | 594 | 272 | 322 | 11/4"-11/2" | f95 |
| 4SDM2/8-0.37 | 661 | 287 | 374 | 11/4"-11/2" | f95 |
| 4SDM2/11-0.55 | 760 | 307 | 453 | 11/4"-11/2" | f95 |
| 4SDM2/15-0.75 | 917 | 322 | 595 | 11/4"-11/2" | f95 |
| 4SDM2/18-0.92 | 1052 | 342 | 710 | 11/4"-11/2" | f95 |
| 4SDM2/21-1.1 | 1181 | 392 | 789 | 11/4"-11/2" | f95 |
| 4SDM2/24-1.3 | 1316 | 412 | 904 | 11/4"-11/2" | f95 |
| 4SDM2/28-1.5 | 1451 | 442 | 1009 | 11/4"-11/2" | f95 |
| 4SDM2/33-1.8 | 1623 | 482 | 1141 | 11/4"-11/2" | f95 |
| 4SDM2/38-2.2 | 1898 | 590 | 1308 | 11/4"-11/2" | f95 |
| 4SDM2/44-2.6 | 2142 | 640 | 1502 | 11/4"-11/2" | f95 |
| 4SD2/50-3 | 2271 | 605 | 1666 | 11/4"-11/2" | f95 |
| 4SD2/56-3.7 | 2485 | 625 | 1860 | 11/4"-11/2" | f95 |
| 4SD2/62-4 | 2663 | 645 | 2018 | 11/4"-11/2" | f95 |
| 4SDM3/5-0.25 | 583 | 272 | 311 | 11/4"-11/2" | f95 |
| 4SDM3/7-0.37 | 657 | 287 | 370 | 11/4"-11/2" | f95 |
| 4SDM3/9-0.55 | 736 | 307 | 429 | 11/4"-11/2" | f95 |
| 4SDM3/12-0.75 | 875 | 322 | 553 | 11/4"-11/2" | f95 |
| 4SDM3/14-0.92 | 954 | 342 | 612 | 11/4"-11/2" | f95 |
| 4SDM3/17-1.1 | 1128 | 392 | 736 | 11/4"-11/2" | f95 |
| 4SDM3/19-1.3 | 1207 | 412 | 795 | 11/4"-11/2" | f95 |
| 4SDM3/22-1.5 | 1325 | 442 | 883 | 11/4"-11/2" | f95 |
| 4SDM3/26-1.8 | 1519 | 482 | 1037 | 11/4"-11/2" | f95 |
| 4SDM3/30-2.2 | 1745 | 590 | 1155 | 11/4"-11/2" | f95 |
| 4SDM3/35-2.6 | 1978 | 640 | 1338 | 11/4"-11/2" | f95 |
| 4SD3/39-3 | 2061 | 605 | 1456 | 11/4"-11/2" | f95 |
| 4SD3/45-3.7 | 2293 | 625 | 1668 | 11/4"-11/2" | f95 |
| 4SD3/50-4 | 2466 | 645 | 1821 | 11/4"-11/2" | f95 |
| 4SD3/55-5 | 2720 | 715 | 2005 | 11/4"-11/2" | f95 |
| 4SD3/64-5.5 | 3095 | 789 | 2306 | 11/4"-11/2" | f95 |
| 4SDM4/6-0.37 | 624 | 287 | 337 | 11/4"-11/2"-2" | f95 |
| 4SDM4/8-0.55 | 701 | 307 | 394 | 11/4"-11/2"-2" | f95 |
| 4SDM4/10-0.75 | 774 | 322 | 452 | 11/4"-11/2"-2" | f95 |
| 4SDM4/12-0.92 | 888 | 342 | 546 | 11/4"-11/2"-2" | f95 |
| 4SDM4/14-1.1 | 995 | 392 | 603 | 11/4"-11/2"-2" | f95 |
| 4SDM4/16-1.3 | 1109 | 412 | 697 | 11/4"-11/2"-2" | f95 |
| 4SDM4/18-1.5 | 1197 | 442 | 755 | 11/4"-11/2"-2" | f95 |
| 4SDM4/21-1.8 | 1323 | 482 | 841 | 11/4"-11/2"-2" | f95 |
| 4SDM4/24-2.2 | 1554 | 590 | 964 | 11/4"-11/2"-2" | f95 |
| 4SDM4/28-2.6 | 1719 | 640 | 1079 | 11/4"-11/2"-2" | f95 |
| 4SDM4/32-3 | 1799 | 605 | 1194 | 11/4"-11/2"-2" | f95 |
| 4SD4/37-3.7 | 2000 | 625 | 1375 | 11/4"-11/2"-2" | f95 |
| 4SD4/41-4 | 2135 | 645 | 1490 | 11/4"-11/2"-2" | f95 |
| 4SD4/46-5 | 2391 | 715 | 1676 | 11/4"-11/2"-2" | f95 |
| 4SD4/54-5.5 | 2732 | 789 | 1943 | 11/4"-11/2"-2" | f95 |
| 4SD4/62-7.5 | 3013 | 840 | 2173 | 11/4"-11/2"-2" | f95 |
| مقياس المظلي | |||||
| نموذج | A | B | C | D | E |
| 4SDM6/5-0.37 | 622 | 287 | 335 | 11/4"-11/2"-2" | f95 |
| 4SDM6/6-0.55 | 677 | 307 | 370 | 11/4"-11/2"-2" | f95 |
| 4SDM6/8-0.75 | 760 | 322 | 438 | 11/4"-11/2"-2" | f95 |
| 4SDM6/10-0.92 | 849 | 342 | 507 | 11/4"-11/2"-2" | f95 |
| 4SDM6/12-1.1 | 1004 | 392 | 612 | 11/4"-11/2"-2" | f95 |
| 4SDM6/14-1.3 | 1092 | 412 | 680 | 11/4"-11/2"-2" | f95 |
| 4SDM6/15-1.5 | 1193 | 442 | 751 | 11/4"-11/2"-2" | f95 |
| 4SDM6/18-1.8 | 1336 | 482 | 854 | 11/4"-11/2"-2" | f95 |
| 4SDM6/21-2.2 | 1547 | 590 | 957 | 11/4"-11/2"-2" | f95 |
| 4SDM6/24-2.6 | 1736 | 640 | 1096 | 11/4"-11/2"-2" | f95 |
| 4SD6/27-3 | 1804 | 605 | 1199 | 11/4"-11/2"-2" | f95 |
| 4SD6/32-3.7 | 1995 | 625 | 1370 | 11/4"-11/2"-2" | f95 |
| 4SD6/35-4 | 2154 | 645 | 1509 | 11/4"-11/2"-2" | f95 |
| 4SD6/38-5 | 2327 | 715 | 1612 | 11/4"-11/2"-2" | f95 |
| 4SD6/45-5.5 | 2684 | 789 | 1895 | 11/4"-11/2"-2" | f95 |
| 4SD6/53-7.5 | 3045 | 840 | 2205 | 11/4"-11/2"-2" | f95 |
| 4SDM8/5-0.55 | 658 | 307 | 351 | 11/2"-2" | f95 |
| 4SDM8/7-0.75 | 749 | 322 | 427 | 11/2"-2" | f95 |
| 4SDM8/8-0.92 | 807 | 342 | 465 | 11/2"-2" | f95 |
| 4SDM8/9-1.1 | 895 | 392 | 503 | 11/2"-2" | f95 |
| 4SDM8/11-1.3 | 1027 | 412 | 615 | 11/2"-2" | f95 |
| 4SDM8/12-1.5 | 1095 | 442 | 653 | 11/2*-2" | f95 |
| 4SDM8/15-1.8 | 1285 | 482 | 803 | 11/2"-2" | f95 |
| 4SDM8/17-2.2 | 1469 | 590 | 879 | 11/2"-2" | f95 |
| 4SDM8/20-2.6 | 1633 | 640 | 993 | 11/2"-2" | f95 |
| 4SD8/22-3 | 1674 | 605 | 1069 | 11/2"-2" | f95 |
| 4SD8/26-3.7 | 1883 | 625 | 1258 | 11/2"-2" | f95 |
| 4SD8/28-4 | 1978 | 645 | 1333 | 11/2"-2" | f95 |
| 4SD8/32-5 | 2237 | 715 | 1522 | 11/2"-2" | f95 |
| 4SD8/37-5.5 | 2507 | 789 | 1718 | 11/2"-2" | f95 |
| 4SD8/43-7.5 | 2822 | 840 | 1982 | 11/2"-2" | f95 |
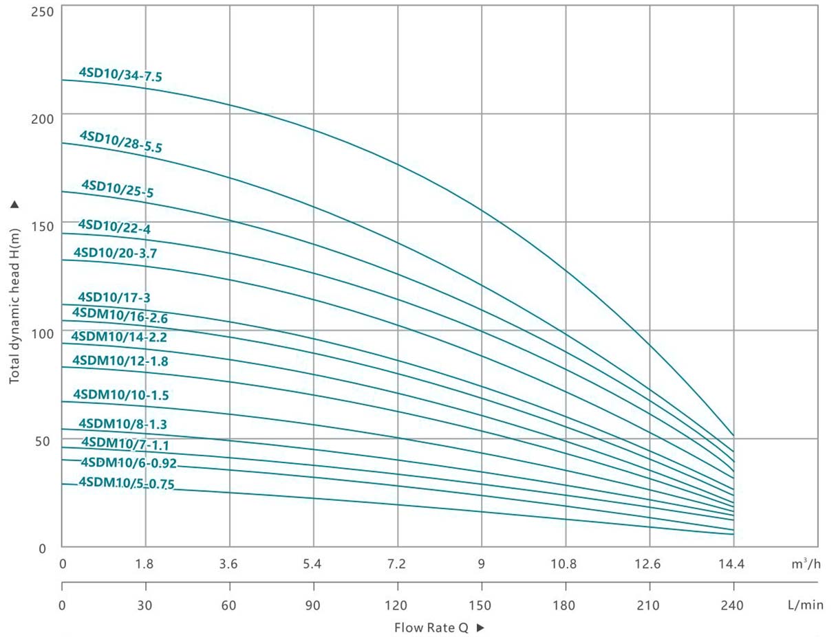
| 4SDM10/5-0.75 | 693 | 322 | 371 | 11/2"-2" | f95 |
| 4SDM10/6-0.92 | 754 | 342 | 412 | 11/2"-2" | f95 |
| 4SDM10/7-1.1 | 844 | 392 | 452 | 11/2"-2" | f95 |
| 4SDM10/8-1.3 | 905 | 412 | 493 | 11/2"-2" | f95 |
| 4SDM10/10-1.5 | 1052 | 442 | 610 | 11/2"-2" | f95 |
| 4SDM10/12-1.8 | 1174 | 482 | 692 | 11/2"-2" | f95 |
| 4SDM10/14-2.2 | 1363 | 590 | 773 | 11/2"-2" | f95 |
| 4SDM10/16-2.6 | 1530 | 640 | 890 | 11/2"-2" | f95 |
| 4SD10/17-3 | 1536 | 605 | 931 | 11/2"-2" | f95 |
| 4SD10/20-3.7 | 1678 | 625 | 1053 | 11/2"-2" | f95 |
| 4SD10/22-4 | 1815 | 645 | 1170 | 11/2"-2" | f95 |
| 4SD10/25-5 | 2007 | 715 | 1292 | 11/2"-2" | f95 |
| 4SD10/28-5.5 | 2210 | 789 | 1421 | 11/2"-2" | f95 |
| 4SD10/34-7.5 | 2541 | 840 | 1701 | 11/2"-2" | f95 |
| مقياس المظلي | |||||
| نموذج | A | B | C | D | E |
| 4SDM12/4-0.75 | 689 | 322 | 367 | 11/2"-2" | f95 |
| 4SDM12/5-0.92 | 756 | 342 | 414 | 11/2"-2" | f95 |
| 4SDM12/6-1.1 | 854 | 392 | 462 | 11/2"-2" | f95 |
| 4SDM12/7-1.3 | 922 | 412 | 510 | 11/2"-2" | f95 |
| 4SDM12/8-1.5 | 1051 | 442 | 609 | 11/2"-2" | f95 |
| 4SDM12/10-1.8 | 1186 | 482 | 704 | 11/2"-2" | f95 |
| 4SDM12/11-2.2 | 1341 | 590 | 751 | 11/2"-2" | f95 |
| 4SDM12/13-2.6 | 1487 | 640 | 847 | 11/2"-2" | f95 |
| 4SD12/15-3 | 1583 | 605 | 978 | 11/2"-2" | f95 |
| 4SD12/17-3.7 | 1698 | 625 | 1073 | 11/2"-2" | f95 |
| 4SD12/19-4 | 1814 | 645 | 1169 | 11/2"-2" | f95 |
| 4SD12/21-5 | 2030 | 715 | 1315 | 11/2"-2" | f95 |
| 4SD12/25-5.5 | 2301 | 789 | 1512 | 11/2"-2" | f95 |
| 4SD12/29-7.5 | 2594 | 840 | 1754 | 11/2"-2" | f95 |
| 4SDM16/4-1.1 | 862 | 392 | 470 | 2" | f95 |
| 4SDM16/5-1.3 | 951 | 412 | 539 | 2" | f95 |
| 4SDM16/6-1.5 | 1050 | 442 | 608 | 2" | f95 |
| 4SDM16/8-1.8 | 1228 | 482 | 746 | 2" | f95 |
| 4SDM16/9-2.2 | 1405 | 590 | 815 | 2" | f95 |
| 4SDM16/10-2.6 | 1524 | 640 | 884 | 2" | f95 |
| 4SD16/11-3 | 1558 | 605 | 953 | 2" | f95 |
| 4SD16/13-3 ..7 | 1716 | 625 | 1091 | 2" | f95 |
| 4SD16/15-4 | 1874 | 645 | 1229 | 2" | f95 |
| 4SD16/17-5 | 2082 | 715 | 1367 | 2" | f95 |
| 4SD16/20-5.5 | 2369 | 789 | 1580 | 2" | f95 |
| 4SD16/22-7.5 | 2558 | 840 | 1718 | 2" | f95 |
| أرقام | اسم |
| 1 | لقط الربيع |
| 2 | نهاية الغطاء |
| 3 | كم التوسع |
| 4 | تحمل |
| 5 | علاقة |
| 6 | الدوار المحرك |
| 7 | علاقة |
| 8 | الختم الميكانيكي |
| 9 | الجزء الثابت للمحرك الكهربائي |
| 10 | سلك كهربائي |
| 11 | حلقة الختم على شكل "O". |
| 12 | غرفة الوقود |
| 13 | غسالة |
| 14 | أفسد |
| 15 | حلقة الختم على شكل "O". |
| 16 | أفسد |
| 17 | الترباس ذو الرأس المزدوج |
| 18 | غسالة |
| 19 | الجوز |
| 20 | حلقة التثبيت |
| 21 | غسالة |
| 22 | غطاء الرمال |
| 23 | جلبة حماية الكابل |
| 24 | أفسد |
| 25 | الجناح |
| 26 | شاشة |
| 27 | قوس الشفط |
| 28 | مشبك الكابل |
| 29 | المشبك. |
| 30 | أفسد |
| 31 | غلاف المضخة |
| 32 | أفسد |
| 33 | اقتران |
| 34 | جلبة |
| 35 | هنا |
| 36 | أنبوب |
| 37 | متوسط |
| 38 | عجلة |
| 39 | ضبط الغسالة |
| 40 | غطاء الناشر |
| 41 | الناشر |
| 42 | أنبوب |
| 43 | أفسد |
| 44 | تحمل المطاط |
| 45 | يدعم |
| 46 | صمام الاختيار |
| 47 | حلقة الختم على شكل "O". |
| 48 | يصدّر |
1. مفاتيح الطاقة
2. أشرطة التحكم الآلي
3. خط الأنابيب
4. صمام
5. طوقا
6. المستوى الثابت
7. القطب العلوي
8. كابل
9. حسنًا
10. مستوى التحريك
11. القضيب الأوسط
12. غلاف المضخة
13. القطب السفلي
14. المحركات الكهربائية تحت الماء
| مقاس | الجهد (الخامس) | الطاقة (كيلوواط) | المقطع العرضي للكابل (مم²) | 0.7 ملم² | 1 ملم² | 1.5 ملم² | 2 مم² | 2.5 ملم² | 3 مم² | 4 مم² | 6 ملم² | 10 ملم² | 16 ملم² | 25 ملم² | 35 ملم² | 50 ملم² |
| 4" | 220 | 0.37 | طول الكابل (م) | 50 | 80 | 100 | ||||||||||
| 0.55 | 35 | 55 | 80 | 105 | 130 | |||||||||||
| 0.75 | 20 | 35 | 55 | 75 | 90 | 110 | 150 | |||||||||
| 0.95 | 32 | 52 | 70 | 85 | 105 | 140 | ||||||||||
| 1.1 | 30 | 48 | 60 | 79 | 100 | 127 | 190 | |||||||||
| 1.5 | 25 | 34 | 50 | 57 | 80 | 92 | 137 | 228 | ||||||||
| 1.8 | 23 | 32 | 48 | 55 | 78 | 90 | 135 | 226 | ||||||||
| 2.2 | 22 | 30 | 43 | 50 | 68 | 102 | 170 | 230 | ||||||||
| 3.0 | 25 | 30 | 45 | 60 | 80 | 120 | 200 | 330 | ||||||||
| 3.5 | 25 | 30 | 45 | 60 | 100 | 180 | 290 | |||||||||
| 4.0 | 25 | 35 | 55 | 90 | 150 | 220 | 300 |
| مقاس | الجهد (الخامس) | الطاقة (كيلوواط) | المقطع العرضي للكابل (مم²) | 0.7 ملم² | 1 ملم² | 1.5 ملم² | 2 مم² | 2.5 ملم² | 3 مم² | 4 مم² | 6 ملم² | 10 ملم² | 16 ملم² | 25 ملم² | 35 ملم² | 50 ملم² |
| 4" | 380 | 0.37 | طول الكابل (م) | 200 | 315 | |||||||||||
| 0.55 | 100 | 210 | 320 | |||||||||||||
| 0.75 | 80 | 165 | 280 | |||||||||||||
| 1.1 | 120 | 180 | 250 | 308 | ||||||||||||
| 1.5 | 90 | 150 | 200 | 250 | 300 | 400 | ||||||||||
| 2.2 | 65 | 114 | 150 | 191 | 250 | 305 | 457 | |||||||||
| 6" | 3.0 | 77 | 100 | 128 | 170 | 205 | 307 | 390 | ||||||||
| 4.0 | 61 | 80 | 102 | 120 | 153 | 244 | 406 | |||||||||
| 5.5 | 47 | 60 | 70 | 90 | 110 | 165 | 312 | |||||||||
| 7.5 | 65 | 80 | 130 | 200 | 320 | |||||||||||
| 9.2 | 72 | 108 | 178 | 282 | 432 | |||||||||||
| 11 | 63 | 94 | 155 | 246 | 370 | |||||||||||
| 13 | 78 | 129 | 205 | 314 | ||||||||||||
| 15 | 69 | 114 | 180 | 277 | ||||||||||||
| 18.5 | 55 | 91 | 145 | 222 | 305 | |||||||||||
| 22 | 49 | 81 | 128 | 196 | 290 | |||||||||||
| 25 | 68 | 107 | 165 | 226 | 314 | |||||||||||
| 30 | 60 | 95 | 145 | 200 | 275 | |||||||||||
| 37 | 52 | 82 | 125 | 170 | 234 | |||||||||||
| 45.0 | 45 | 71 | 108 | 147 | 203 |
مضخة الآبار العميقة من الفولاذ المقاوم للصدأ 2.5SDM
مضخة الآبار العميقة من الفولاذ المقاوم للصدأ 3SDM
مضخة الآبار العميقة من الفولاذ المقاوم للصدأ 3.5SDM
مضخة الآبار العميقة من الفولاذ المقاوم للصدأ 2SDM
6SR مضخة الآبار العميقة المصنوعة من الفولاذ المقاوم للصدأ مقاس 6 بوصات
مضخة غاطسة 2/3QGD للآبار العميقة