رمز التعريفنحن ندرك أن التطبيقات المختلفة قد تكون لها احتياجات فريدة، ولهذا السبب نقدم أيضًا خيارات مضخات مخصصة. سواء كان الحجم أو السعة المحددة أو غيرها من الميزات المخصصة، يمكن للعلامة التجارية ZEN تصميم المضخة الغاطسة 3.5/4QGD للآبار العميقة وفقًا لمواصفاتك الدقيقة.* 3.5 كيو جي* 3.5: قطر البئر: 88 مم (3.5 بوصة)*QG: اسم المضخة* د: محرك واحد (ثلاث مراحل هو د)* 1: السعة (م³/ساعة)* 50: الرأس (م)* 0.37: قوة المحرك (كيلوواط)
1. لتزويد المياه من الآبار أو الخزانات.
2. للاستخدام المنزلي والمدني والصناعي.
3. لاستخدام الحدائق والري.
1. أقصى درجة حرارة للسائل تصل إلى +35 درجة مئوية
2 الحد الأقصى لمحتوى الرمل: 0.25%.
3 أقصى عمق للغوص: 100 متر.
4. الحد الأدنى لقطر البئر: 3.5 بوصة.
محرك كهربائي مزود بلفات متعددة أو شاشة مغلقة بالكامل
ثلاث مراحل: 380 فولت - 415 فولت / 50 هرتز
مرحلة واحدة: 220 فولت - 240 فولت / 50 هرتز
مجهزة بصندوق التحكم في الإطلاق أو صندوق التحكم الآلي الرقمي
تم تصميم المضخة لضغط الغلاف
معايير الحجم NEMA
ختم ميكانيكي خاص
الفولتية أو الترددات الأخرى 60 هرتز
| مقياس المظلي | |||||
| نموذج | A | B | C | D | E |
| 3.5QGD1-50-0.37 | 580 | 382 | 198 | 1" | f85 |
| 3.5QGD1-60-0.5 | 606 | 392 | 214 | 1" | f85 |
| 3.5QGD1.8-50-0.75 | 621 | 407 | 214 | 1" | f85 |
| 4QGD1.2-50-0.37 | 583 | 343 | 240 | 1" | f95 |
| 4QGD1.2-60-0.55 | 647 | 363 | 284 | 1" | f95 |
| 4QGD1.2-100-0.75 | 667 | 383 | 284 | 1" | f95 |
| 4QGD1.5-120-1.1 | 737 | 453 | 284 | 1" | f95 |
| 4QGD1.8-50-0.55 | 609 | 363 | 246 | 1" | f95 |
| 4QGD1.8-80-0.75 | 667 | 383 | 284 | 1" | f95 |
| نموذج | ص2 |
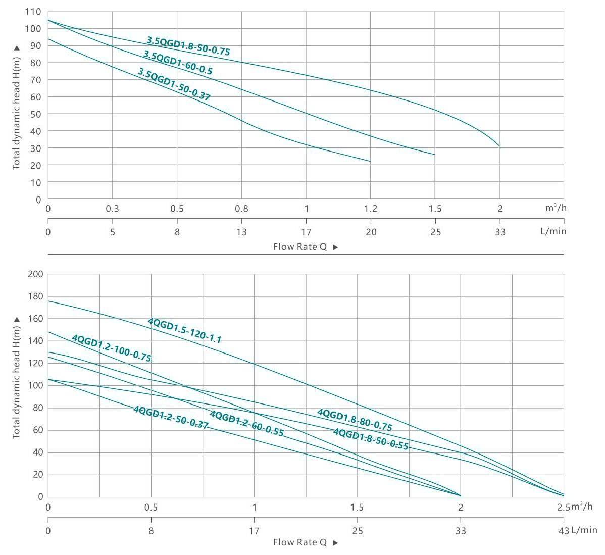
Q لتر/دقيقة م³/ساعة |
0 | 5 | 8 | 13 | 17 | 20 | 25 | 33 | |||||
| 1 ~ 220 فولت/240 فولت | كيلوواط | HP | |||||||||||||
| 0 | 0.3 | 0.5 | 0.8 | 1 | 1.2 | 1.5 | 2 | ||||||||
| 3.5QGD1-50-0.37 | 0.37 | 0.5 | ح (م) | 93 | 74 | 64 | 46 | 33 | 22 | 1 | |||||
| 3.5QGD1-60-0.5 | 0.5 | 0.75 | 105 | 86 | 77 | 62 | 51 | 45 | 28 | 1 | |||||
| 3.5QGD1.8-50-0.75 | 0.75 | 1.0 | 105 | 95 | 88 | 78 | 73 | 62 | 57 | 32 | |||||
| فستان | ص2 |
Q لتر/دقيقة م³/ساعة |
0 | 8 | 17 | 25 | 33 | 43 | |||||||
| 1 ~ 220 فولت/240 فولت | كيلوواط | HP | |||||||||||||
| 0 | 0.5 | 1 | 1.5 | 2 | 2.5 | ||||||||||
| 4QGD1.2-50-0.37 | 0.37 | 0.5 | ح (م) | 105 | 77 | 52 | 27 | 1 | |||||||
| 4QGD1.2-60-0.55 | 0.55 | 0.75 | 125 | 96 | 62 | 33 | 1 | ||||||||
| 4QGD1.2-100-0.75 | 0.75 | 1.0 | 148 | 112 | 76 | 39 | 1 | ||||||||
| 4QGD1.5-120-1.1 | 1.1 | 1.5 | 177 | 150 | 120 | 83 | 45 | 2 | |||||||
| 4QGD1.8-50-0.55 | 0.55 | 0.75 | 105 | 90 | 75 | 58 | 34 | 1 | |||||||
| 4QGD1.8-80-0.75 | 0.75 | 1.0 | 130 | 106 | 85 | 62 | 40 | 1 | |||||||
| أرقام | اسم |
| 1 | لقط الربيع |
| 2 | نهاية الغطاء |
| 3 | كم التوسع |
| 4 | سعة |
| 5 | تحمل |
| 6 | علاقة |
| 7 | الدوار المحرك |
| 8 | الختم الميكانيكي |
| 9 | الجزء الثابت للمحرك الكهربائي |
| 10 | سلك كهربائي |
| 11 | أفسد |
| 12 | غسالة |
| 13 | حلقة الختم على شكل "O". |
| 14 | غرفة الوقود |
| 15 | حلقة الختم على شكل "O". |
| 16 | أفسد |
| 17 | الترباس ذو الرأس المزدوج |
| 18 | غسالة |
| 19 | المكسرات |
| 20 | حلقة التثبيت |
| 21 | غسالة |
| 22 | غطاء الرمال |
| 23 | جلبة حماية الكابل |
| 24 | أفسد |
| 25 | الجناح |
| 26 | غلاف المضخة |
| 27 | مخلب كاردان |
| 28 | أفسد |
| 29 | غطاء |
| 30 | الجزء الثابت المطاطي |
| 31 | جرس |
| 32 | غرفة الإخراج |
| 33 | مزلاج |
1. مفاتيح الطاقة
2. أشرطة التحكم الآلي
3. خط الأنابيب
4. صمام
5. طوقا
6. المستوى الثابت
7. القطب العلوي
8. كابل
9. حسنًا
10. مستوى التحريك
11. القضيب الأوسط
12. غلاف المضخة
13. القطب السفلي
14. المحركات الكهربائية تحت الماء
| مقاس | الجهد (الخامس) | الطاقة (كيلوواط) | المقطع العرضي للكابل (مم²) | 0.7 ملم² | 1 ملم² | 1.5 ملم² | 2 مم² | 2.5 ملم² | 3 مم² | 4 مم² | 6 ملم² | 10 ملم² | 16 ملم² | 25 ملم² | 35 ملم² | 50 ملم² |
| 4" | 220 | 0.37 | طول الكابل (م) | 50 | 80 | 100 | ||||||||||
| 0.55 | 35 | 55 | 80 | 105 | 130 | |||||||||||
| 0.75 | 20 | 35 | 55 | 75 | 90 | 110 | 150 | |||||||||
| 0.95 | 32 | 52 | 70 | 85 | 105 | 140 | ||||||||||
| 1.1 | 30 | 48 | 60 | 79 | 100 | 127 | 190 | |||||||||
| 1.5 | 25 | 34 | 50 | 57 | 80 | 92 | 137 | 228 | ||||||||
| 1.8 | 23 | 32 | 48 | 55 | 78 | 90 | 135 | 226 | ||||||||
| 2.2 | 22 | 30 | 43 | 50 | 68 | 102 | 170 | 230 | ||||||||
| 3.0 | 25 | 30 | 45 | 60 | 80 | 120 | 200 | 330 | ||||||||
| 3.5 | 25 | 30 | 45 | 60 | 100 | 180 | 290 | |||||||||
| 4.0 | 25 | 35 | 55 | 90 | 150 | 220 | 300 |
| مقاس | الجهد (الخامس) | الطاقة (كيلوواط) | المقطع العرضي للكابل (مم²) | 0.7 ملم² | 1 ملم² | 1.5 ملم² | 2 مم² | 2.5 ملم² | 3 مم² | 4 مم² | 6 ملم² | 10 ملم² | 16 ملم² | 25 ملم² | 35 ملم² | 50 ملم² |
| 4" | 380 | 0.37 | طول الكابل (م) | 200 | 315 | |||||||||||
| 0.55 | 100 | 210 | 320 | |||||||||||||
| 0.75 | 80 | 165 | 280 | |||||||||||||
| 1.1 | 120 | 180 | 250 | 308 | ||||||||||||
| 1.5 | 90 | 150 | 200 | 250 | 300 | 400 | ||||||||||
| 2.2 | 65 | 114 | 150 | 191 | 250 | 305 | 457 | |||||||||
| 6" | 3.0 | 77 | 100 | 128 | 170 | 205 | 307 | 390 | ||||||||
| 4.0 | 61 | 80 | 102 | 120 | 153 | 244 | 406 | |||||||||
| 5.5 | 47 | 60 | 70 | 90 | 110 | 165 | 312 | |||||||||
| 7.5 | 65 | 80 | 130 | 200 | 320 | |||||||||||
| 9.2 | 72 | 108 | 178 | 282 | 432 | |||||||||||
| 11 | 63 | 94 | 155 | 246 | 370 | |||||||||||
| 13 | 78 | 129 | 205 | 314 | ||||||||||||
| 15 | 69 | 114 | 180 | 277 | ||||||||||||
| 18.5 | 55 | 91 | 145 | 222 | 305 | |||||||||||
| 22 | 49 | 81 | 128 | 196 | 290 | |||||||||||
| 25 | 68 | 107 | 165 | 226 | 314 | |||||||||||
| 30 | 60 | 95 | 145 | 200 | 275 | |||||||||||
| 37 | 52 | 82 | 125 | 170 | 234 | |||||||||||
| 45.0 | 45 | 71 | 108 | 147 | 203 |
مضخة الآبار العميقة من الفولاذ المقاوم للصدأ 2.5SDM
مضخة الآبار العميقة من الفولاذ المقاوم للصدأ 3SDM
مضخة الآبار العميقة من الفولاذ المقاوم للصدأ 3.5SDM
مضخة الآبار العميقة من الفولاذ المقاوم للصدأ 4SDM
مضخة الآبار العميقة من الفولاذ المقاوم للصدأ 2SDM
6SR مضخة الآبار العميقة المصنوعة من الفولاذ المقاوم للصدأ مقاس 6 بوصات